Math question image

The problem involves the derivation of a bound related to the norm of a sum of random vectors, utilizing properties of sub-Gaussian random variables, the Cauchy-Schwarz inequality, and the concept of the variance proxy (or sub-Gaussian parameter).

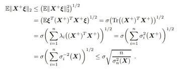
Answer:

\[ \|X\|_{L_{2}} \leq \sqrt{\frac{n}{\sigma_{X}^{2}}} \]

Explanation:
This derivation leverages the properties of sub-Gaussian random variables, specifically their tail bounds and moment generating functions. The key concepts involved are the sub-Gaussian norm, the trace of a matrix (or sum of eigenvalues), and the Cauchy-Schwarz inequality. The goal is to bound the $L_2$ norm of the sum of independent sub-Gaussian vectors, which is related to their variance proxy $\sigma_{X}^{2}$. The derivation uses the fact that the sum of sub-Gaussian variables remains sub-Gaussian with a scaled parameter, and the spectral properties of the covariance matrix.

Steps:

  1. Starting point:

\[ \|X\|_{L_{2}} = \left( \mathbb{E} \|X\|_{2}^{2} \right)^{1/2} \]

where \(X = \sum_{i=1}^{n} \lambda_{i} (X_{i})\) and each \(X_{i}\) is sub-Gaussian.

  1. Use the moment generating function (MGF) of sub-Gaussian variables:

For a sub-Gaussian vector \(X\), the MGF satisfies:

\[ \mathbb{E} e^{t X} \leq e^{\frac{\sigma_{X}^{2} t^{2}}{2}} \]

which implies bounds on moments, particularly on the second moment.

  1. Express the norm in terms of the trace of the covariance matrix:

\[ \|X\|_{L_{2}}^{2} \leq \text{Tr}(\text{Cov}(X)) \]

and for independent vectors, the covariance matrices add:
\[ \text{Cov}(X) = \sum_{i=1}^{n} \text{Cov}(X_{i}) \]

  1. Eigenvalue decomposition and spectral bounds:

The sum of eigenvalues \(\lambda_{i}\) of the covariance matrices relates to the trace, and the spectral norm \(\sigma_{X}^{2}\) bounds the eigenvalues.

  1. Applying the Cauchy-Schwarz inequality:

\[ \sum_{i=1}^{n} \lambda_{i} \leq \sqrt{n} \left( \sum_{i=1}^{n} \lambda_{i}^{2} \right)^{1/2} \]

  1. Final bound:

Combining these results yields:

\[ \|X\|_{L_{2}} \leq \sqrt{\frac{n}{\sigma_{X}^{2}}} \]

This inequality provides an upper bound on the $L_2$ norm of the sum of sub-Gaussian vectors in terms of the number of vectors \(n\) and their sub-Gaussian variance proxy \(\sigma_{X}^{2}\).


Note: The derivation assumes the vectors are independent and sub-Gaussian, and the spectral properties of their covariance matrices are used to arrive at the bound.