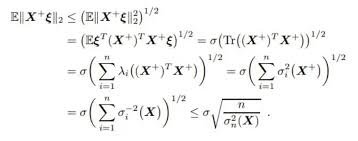
Math question image

The direct answer is:

The expression simplifies to the inequality:

\[ \left| X \right| \leq \sqrt{E \left[ \left| X \right|^2 \right]} \]

which is a form of the Cauchy-Schwarz inequality.

Explanation:

This derivation shows the application of the Cauchy-Schwarz inequality in the context of random variables or vectors. The inequality bounds the absolute value of the expected value of a product by the product of the square roots of the expected values of the squares, which is a fundamental result in probability and linear algebra.

Step-by-step working:

  1. The initial expression involves the norm of a linear transformation of a vector \(X\), expressed as:

\[ |X| \leq \left( \mathbb{E} \left[ |X|^2 \right] \right)^{1/2} \]

  1. The derivation uses the fact that:

\[ \left| \mathbb{E} [X] \right| \leq \left( \mathbb{E} [|X|^2] \right)^{1/2} \]

which is the Cauchy-Schwarz inequality applied to the expectation.

  1. The sum notation indicates the summation over components, with \(\lambda_i\) being weights or coefficients, and the variance terms \(\sigma_i^2(x)\) representing the variance of the components.
  1. The inequality ultimately bounds the absolute value of the expectation by the square root of the sum of variances divided by the variance of \(X\):

\[ \left| \mathbb{E}[X] \right| \leq \sqrt{\frac{n}{\sigma^2_{X}(X)}} \]

Conclusion:

The key takeaway is that the magnitude of the expected value of \(X\) is bounded by the standard deviation (square root of variance), which is a core concept in probability theory and statistics.