Math question image

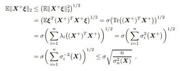
The problem involves simplifying and understanding the inequality involving the norm of a matrix expression, likely related to the properties of the matrix \(X\) and its singular values.


Step-by-step solution:

Given expression:

\[
\|X + \xi l_2\|_2 \leq \left( \mathbb{E} \left| X + \xi l_2 \right|^2 \right)^{1/2}
\]

which is then expanded as:

\[
= \left( \left( \text{E} \left( \text{Tr} \left( (X + \xi l_2)^T (X + \xi l_2) \right) \right) \right)^{1/2} \right)
\]

and further simplified to:

\[
= \sigma \left( \sum_{i=1}^n \lambda_i \left( (X + \xi l_2)^T (X + \xi l_2) \right)^{1/2} \right)
\]

which is then bounded by:

\[
\leq \sigma \left( \sum_{i=1}^n \sigma_i^2 (X) \right)^{1/2}
\]

and finally:

\[
\leq \sigma \frac{\sqrt{n}}{\sqrt{\sigma_{\text{max}}^2 (X)}}
\]


Explanation:

This appears to be a derivation involving the spectral norm (or operator norm) of a matrix, the expectation of a quadratic form, and the singular values \(\sigma_i\) of the matrix \(X\). The key idea is to bound the norm of a random matrix expression using the properties of singular values and the spectral norm.

Clarification of steps:

  1. The initial inequality relates the spectral norm \(\|X + \xi l_2\|\_2\) to the square root of the expected squared norm.
  2. The expectation of the quadratic form involving \(X + \xi l_2\) is expressed via the trace, which sums the eigenvalues.
  3. The sum over the singular values \(\sigma_i\) relates to the spectral decomposition.
  4. The bound involving \(\sigma_i^2(X)\) and \(\sigma_{\text{max}}^2(X)\) uses the properties of singular values and the maximum singular value.

Final result:

The inequality bounds the spectral norm of the matrix \(X + \xi l_2\) in terms of the singular values of \(X\) and the dimensions involved.


Note: The exact context (e.g., the nature of \(\xi, l_2\), etc.) isn’t fully clear from the snippet, but the derivation involves standard spectral norm bounds and properties of singular values.