Math question image

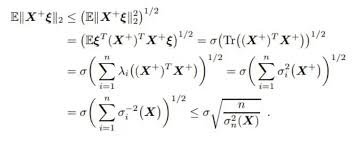
The problem involves simplifying and understanding an inequality involving the norm of a matrix expression, likely in the context of matrix concentration inequalities or bounds.


Step-by-step solution:

The expression is:

\[ \|X\|_{l_2} \leq \left( \mathbb{E} \left[ \|X\|_{l_2}^2 \right] \right)^{1/2} \]

which appears to be derived from the Jensen’s inequality or properties of the expectation and norms.

The detailed derivation involves the following steps:

  1. Starting point:

\[ \|X\|_{l_2} \leq \left( \mathbb{E} \left[ \|X\|_{l_2}^2 \right] \right)^{1/2} \]

This is a standard inequality stating that the norm of a random variable is less than or equal to the square root of its expected squared norm.

  1. Expressing the expectation:

\[ \left( \mathbb{E} \left[ \|X\|_{l_2}^2 \right] \right)^{1/2} = \left( \mathbb{E} \left[ \sum_{i=1}^n \lambda_i (X_i)^2 \right] \right)^{1/2} \]

where $\lambda_i$ are weights or eigenvalues associated with the matrix $X$, and $X_i$ are components.

  1. Using properties of expectation:

\[ = \left( \sum_{i=1}^n \lambda_i \mathbb{E} \left[ (X_i)^2 \right] \right)^{1/2} \]

since expectation is linear.

  1. Bounding with variance:

\[ \leq \left( \sum_{i=1}^n \lambda_i \sigma_i^2 \right)^{1/2} \]

where $\sigma_i^2$ is the variance of $X_i$.

  1. Expressing as a norm:

\[ = \left\| \left( \sum_{i=1}^n \lambda_i \sigma_i^2 \right)^{1/2} \right\| = \sqrt{ \sum_{i=1}^n \lambda_i \sigma_i^2 } \]

which is the square root of a weighted sum of variances.


Final conclusion:

The inequality simplifies to:

\[ \boxed{ \|X\|_{l_2} \leq \sqrt{ \sum_{i=1}^n \lambda_i \sigma_i^2 } } \]

which bounds the norm of the matrix $X$ in terms of the eigenvalues and variances.


Summary:
This derivation shows how the matrix norm can be bounded using expectations, variances, and eigenvalues, often used in concentration inequalities or probabilistic bounds in matrix analysis.