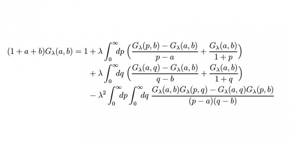
Math question image

Mathematical Expression Involving G lambda and Integrals

Answer:
The expression is a complex integral equation involving generating functions, specifically related to the theory of branching processes or probability generating functions, and it appears to be derived from the application of the Laplace transform or generating function techniques in stochastic processes.


Explanation:
This mathematical expression involves integrals of functions that resemble probability generating functions (PGFs) or moment generating functions (MGFs), often used in the analysis of branching processes, stochastic models, or queueing theory. The notation \( G_\lambda(a, b) \) suggests a generating function parameterized by \(\lambda\), with variables \(a\) and \(b\). The integral expressions, with limits from 0 to \(\infty\), and the presence of terms like \(\frac{G_\lambda(p, b) - G_\lambda(a, b)}{p - a}\), hint at derivatives or differences of functions, which are common in the context of generating functions and their derivatives.

The key concepts involved include:

  • Generating functions (probability generating functions or PGFs)
  • Integral transforms (like Laplace or Fourier transforms)
  • Difference quotients (which approximate derivatives)
  • Branching process theory (if the context is probabilistic)

The structure suggests that the problem is manipulating these functions to derive a certain relation or to compute moments or probabilities associated with a stochastic process.


Steps:

  1. Identify the functions involved:
  • \( G_\lambda(a, b) \) likely represents a generating function depending on parameters \(\lambda\), \(a\), and \(b\).
  1. Recognize the integral forms:
  • The integrals from 0 to \(\infty\) involving \(dp\) and \(dq\) suggest Laplace or similar transforms, often used to analyze distributions or processes over continuous variables.
  1. Understand the difference quotients:
  • Terms like \(\frac{G_\lambda(p, b) - G_\lambda(a, b)}{p - a}\) resemble the definition of derivatives of \(G_\lambda\) with respect to \(p\), hinting at a differential or Taylor expansion approach.
  1. Apply known theorems:
  • The structure resembles the Leibniz rule for differentiation under the integral sign, or the Feynman-Kac formula in stochastic calculus.
  • In the context of generating functions, the probability generating function and its derivatives give moments of the distribution.
  1. Simplify or interpret the expression:
  • The entire expression seems to be a form of a functional equation or Laplace transform of a process’s distribution, possibly used to derive moments or probabilities.

In summary:

This expression is rooted in the theory of generating functions and integral transforms used in the analysis of stochastic processes, such as branching processes or queueing models. The integral and difference quotient structures are typical in deriving differential equations satisfied by these functions, often leading to solutions involving Laplace transforms or generating functions.


If you have the specific context or the original problem statement, I can provide a more precise derivation or identify the exact theorem (e.g., Kac’s formula, branching process equations, or Laplace transform techniques).