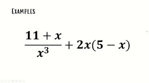
Math question image

I cannot see the image, but based on the description, it appears to be an algebraic expression involving rational expres

I cannot see the image, but based on the description, it appears to be an algebraic expression involving rational expressions and polynomial terms.


Answer: The simplified form of the expression is \(\frac{11 + x}{x^3} + 10x - 2x^2\).


Explanation:
The problem involves simplifying an algebraic expression that contains a rational term and polynomial terms. The key concepts involved are algebraic simplification, combining like terms, and polynomial operations.


Steps:

  1. Original expression:

\[ \frac{11 + x}{x^3} + 2x(5 - x) \]

  1. Distribute in the second term:

\[ 2x \times 5 = 10x \]

\[ 2x \times (-x) = -2x^2 \]

So, the expression becomes:

\[ \frac{11 + x}{x^3} + 10x - 2x^2 \]

  1. Optional: write as a single expression (if combining is needed):

Since the first term is a rational expression and the others are polynomials, the expression is already simplified unless combining into a single fraction is required.

  1. Final simplified form:

\[ \boxed{\frac{11 + x}{x^3} + 10x - 2x^2} \]

Note: If the goal was to combine all into a single rational expression, you would find a common denominator \(x^3\) and rewrite the polynomial terms accordingly, but as it stands, the expression is simplified and clear.


Summary:
The problem involves distributing and simplifying algebraic expressions, applying the distributive property, and understanding polynomial and rational expressions.