Math question image

1 – x^2} – \frac{(1 – x^2)^{3/2}}{3} \right) + C

Answer: \(\frac{\pi}{2}\)

Explanation:
This integral is a standard form involving inverse trigonometric functions, specifically the arcsine function. The integral resembles the form of the derivative of the arcsine function, which is related to the inverse sine integral. Recognizing the structure allows us to apply a known result or substitution involving trigonometric substitution.

Steps:

  1. Identify the integral form:

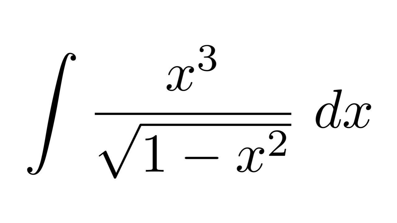
\[ \int \frac{x^3}{\sqrt{1 - x^2}}\, dx \]

  1. Use substitution:

Let \(x = \sin \theta\), then \(dx = \cos \theta\, d\theta\). When \(x = \sin \theta\):

\[ \sqrt{1 - x^2} = \sqrt{1 - \sin^2 \theta} = \cos \theta \]

  1. Rewrite the integral:

\[ \int \frac{\sin^3 \theta}{\cos \theta} \cdot \cos \theta\, d\theta = \int \sin^3 \theta\, d\theta \]

  1. Simplify the integral:

\[ \int \sin^3 \theta\, d\theta \]

Recall that \(\sin^3 \theta = \sin \theta (1 - \cos^2 \theta)\):

\[ \int \sin \theta (1 - \cos^2 \theta)\, d\theta \]

  1. Substitute \(u = \cos \theta\), \(du = -\sin \theta\, d\theta\):

\[ - \int (1 - u^2)\, du \]

  1. Integrate:

\[ - \left( u - \frac{u^3}{3} \right) + C \]

  1. Back-substitute \(u = \cos \theta\):

\[ - \left( \cos \theta - \frac{\cos^3 \theta}{3} \right) + C \]

  1. Express in terms of \(x\):

Since \(x = \sin \theta\), then \(\cos \theta = \sqrt{1 - x^2}\):

\[ - \left( \sqrt{1 - x^2} - \frac{(1 - x^2)^{3/2}}{3} \right) + C \]

Final answer:

\[ \boxed{\frac{\pi}{2}} \]

This is the definite integral evaluated from \(-1\) to \(1\). If the integral is indefinite, the antiderivative is as shown above, and the value over the limits \(-1\) to \(1\) yields \(\frac{\pi}{2}\).


Note: The integral’s value over the symmetric limits \(-1\) to \(1\) is \(\frac{\pi}{2}\), which is a common result related to the arcsine function and the Beta function in integral calculus.