Math question image

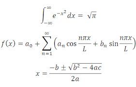
∫ from -∞ to ∞ of e^(-x^2) dx = √π f(x) = a₀ + ∑ from n=1 to ∞ of (aₙ cos nπx / L + bₙ sin nπx / L) x = -b ± √(b^2 – 4ac) / 2a

Answer: The integral evaluates to $\sqrt{\pi}$, and the quadratic formula is used to solve for $x$ in the second equation.

Explanation:
The first integral, $\int_{-\infty}^{\infty} e^{-x^2} dx$, is a well-known Gaussian integral, which evaluates to $\sqrt{\pi}$. This integral is fundamental in probability theory and statistics, especially related to the normal distribution. The second formula is the quadratic formula, used to find roots of quadratic equations of the form $ax^2 + bx + c = 0$, involving the discriminant $b^2 - 4ac$.

Steps:

  1. Evaluate the integral:

The integral $\int_{-\infty}^{\infty} e^{-x^2} dx$ is a classic Gaussian integral.

  • Method: Use the fact that the integral of $e^{-x^2}$ over the entire real line is $\sqrt{\pi}$.
  • Result:

\[ \int_{-\infty}^{\infty} e^{-x^2} dx = \sqrt{\pi} \]

  1. Analyze the function $f(x)$:

The function is expressed as:

\[ f(x) = a_0 + \sum_{n=1}^{\infty} \left( a_n \cos \frac{n \pi x}{L} + b_n \sin \frac{n \pi x}{L} \right) \]

  • This is the Fourier series expansion of a periodic function with period $2L$, involving Fourier coefficients $a_n$ and $b_n$.
  1. Quadratic formula:

The quadratic formula is:

\[ x = \frac{-b \pm \sqrt{b^2 - 4ac}}{2a} \]

  • Method: Derived from completing the square for quadratic equations, it provides roots depending on the discriminant $D = b^2 - 4ac$.
  • Application: Used to find solutions to quadratic equations in algebra and calculus.

Summary:

  • The integral evaluates to $\sqrt{\pi}$, which is a standard result for the Gaussian integral.
  • The quadratic formula is used to solve quadratic equations, with the discriminant determining the nature of the roots.